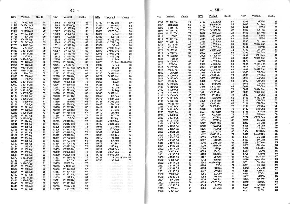
BAV Rundbrief 2/1996 Seite 64-65